Luna Probe One-Step RT-qPCR 4X Mix with UDG – Für exzellente Sensitivität und bis zu 5-fach Multiplexing ohne „Falsch-Positive“
Nicht nur in der aktuellen SARS-CoV-2 Detektion ist es vorteilhaft, wenn man größere Volumen an Probenmaterial zur erhöhten Sensitivität einsetzten kann.
Mit NEBs neuem 4x-konzentriertem Mastermix können Sie außerdem bis zu 5 unterschiedliche Zielsequenzen gleichzeitig analysieren.
Dank eingebautem „Carryover-Schutz“ durch dUTP/UDG im Mix sind Sie ebenfalls sicher vor falsch-positiven Testergebnissen, die von Übertragskontaminationen mit „alten“ Amplifikaten herrühren.
One-Step RNA Nachweis und Quantifizierung
Die NEB Luna Universal Probe One-Step RT-qPCR Kits #E3006 und #E3007 sind praktische und zuverlässige 2x Master Mixe, die für die Detektion und Quantifizierung von RNA-Sequenzen mit Hydrolyse-Sonden (z. B. „TaqMan“ Sonden) optimiert wurden. Das NEB Luna Universal Probe One-Step RT-qPCR Kit #E3006 enthält dabei einen innovativen Referenz-Farbstoff. Damit ist das Kit mit allen gängigen qPCR Instrumenten kompatibel, inkl. solche, die High oder Low ROX benötigen. Die No ROX Variante #E3007 empfehlen wir für PCR-Cycler, die keine ROX-Normalisierung benötigen.
Beide Kits enthalten alle notwendigen Enzyme und Komponenten, um besonders einfach ausgehend von RNA zuverlässige qPCR-Daten zu generieren: d.h. Sie geben einfach RNA Template, gen-spezifische Primer & Hydrolyse-Sonde und Wasser zum Master Mix – fertig ist der Ansatz!
Dank der einfachen und schnelle Protokolle sind die Luna Universal Probe One-Step RT-qPCR Kits optimal für die Forschung und auch in der Routine-Analyse z. B. Quantifizierung von viraler RNA etc.
Und das passiert im Reagenzgefäß:
In der 1-Tube Reaktion wird die RNA zunächst durch die einzigartige, von NEB neu entwickelte „WarmStart“ Reverse Transcriptase des Master Mixes in cDNA umgeschrieben. Für die anschließende Amplifikation mit spezifischen Primern nutzt der Master Mix eine RT-qPCR optimierte Formulierung unserer Hot Start Taq DNA Polymerase.
Den Reaktionsansatz können Sie gefahrlos bei Raumtemperatur (RT) pipettieren, denn beide Enzyme werden durch reversibel bindenden Aptamere bei niedrigen Temperaturen (RT) inhibiert. So wird die unerwünschte unspezifische Reverse Transkription sowie die unspezifische PCR-Amplifikation inhibiert und dadurch die Spezifität der gesamten RT-qPCR deutlich erhöht.
- Entwickelt entlang der renommierten MIQE-Richtlinien für beste qPCR-Praxis
- Modernste Enzymtechnologie für beste Performance, Sensibilität und Zuverlässigkeit in der One-Step RT-qPCR
- Einfache und schnelle Protokolle dank umfassendem Master Mix Format
- Reaktionsansatz bei Raumtemperatur
- Gut sichtbarer inerter blauer Farbstoff als Schutz vor Pipettierfehlern
- Kompatibel mit allen gängigen PCR-Maschinen (#E3006)
- Ideal für Routine-Analysen, da kompatibel mit optionalem Verdau von Übertragskontaminationen durch thermolabile UDG
- Günstiger Preis
Und das sagen unsere Kunden:
|
„The choice of One-step kit is critical for sensitivity and at the same time a major cost factor. We recommend the NEB Luna Universal Probe One-Step RT-qPCR Kit (E3007), which is attractively priced and performs among the most sensitive One-step kits we tested.“ VIENNA COVID-19 Detection Initiative (VCDI) |
||||
![]() |
||||
Schutz vor Carryover-Kontamination:
Beide Luna Universal Probe One-Step RT-qPCR Kits nutzen einen dNTP-Mix, der dUTP enthält. Dies ermöglicht einen optionalen Uracil DNA Glycosylase (UDG) Verdau vor der Nachweis-Reaktion, mit dem alte, „kontaminierende“ Amplifikate abgebaut werden. Dieser Schutz von Carryover-Kontaminationen ist besonders sinnvoll, wenn viele Proben routine-mäßig auf die gleiche Sequenz überprüft werden.
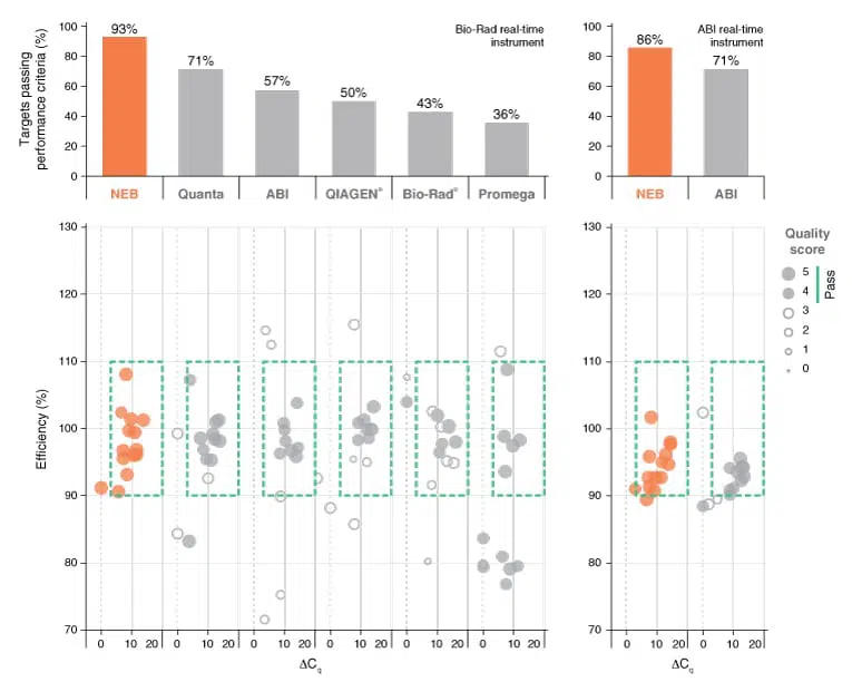
Exzellente Luna RT-qPCR-Performance im direkten Vergleich:

Verschiedene kommerziell erhältliche RT-qPCR-Reagenzien wurden mit 7 RT-qPCR-Targets getestet, die sich in Abundanz, Länge und GC-Gehalt unterschieden. Die Reaktionen wurden gemäß den Empfehlungen des jeweiligen Herstellers durchgeführt. Die Ergebnisse wurden hinsichtlich der Effizienz, Nachweis bei geringer Input-Menge und Signal in der Non-Template Control (NTC) ausgewertet (ΔCq = durchschnittlicher Cq der NTC – durchschnittlicher Cq der niedrigsten Input-Menge). Zusätzlich wurden Gleichmäßigkeit, Reproduzierbarkeit und die Qualität der Gesamtkurve bewertet (Quality Score). Das Balkendiagramm zeigt den Prozentsatz der Targets an, die die akzeptablen Leistungskriterien erfüllten (angezeigt durch ein grünes Kästchen auf dem Punktdiagramm und den Qualitätswert > 3). Es werden Ergebnisse für NEB und andere Lieferanten gezeigt: Quanta – qScript XLT 1-Step RT-qPCR ToughMix; ABI – TaqMan RNA-to-Ct 1-Step Kit; QIAGEN – QuantiFast Probe RT-PCR Kit; Bio-Rad – iTaq Universal Probes One-Step Kit; Promega – GoTaq Probe 1-Step RT-qPCR System. Das Luna Universal Probe One-Step RT-qPCR Kit von NEB übertraf alle anderen getesteten Reagenzien.

Multiplex One-Step RT-qPCRs an humaner GAPDH, Ribosomal Protein L32g und PI3-Kinase-Related Kinase SMG1 belegen die exzellente Performance des Luna Universal One-Step RT-qPCR Kits. Es wurden dabei RNA-Eingangsmengen über 7 Größenordnungen (1 μg – 1 pg Jurkat total RNA) in jeweils 4 Replikaten eingesetzt.
Produkttabelle
Stand: 01.01.2024
Weiterführende Informationen finden Sie unter Technische Ressourcen oder auf neb.com. Informationen zu Namensrechten finden Sie hier.



