ProtoScript® II Reverse Transcriptase
NEBs ProtoScript II Reverse Transcriptase ist eine rekombinante, mutierte Version der M-MuLV RTase mit reduzierter RNase H-Aktivität und erhöhter Temperaturstabilität. Die ProtoScript® II Reverse Transcriptase ermöglicht besonders lange cDNAs bis über 10 kb (full length transcripts). Durch die Erweiterung des Temperaturspektrums (bis auf 48°C ! ) können auch schwierige RNA- Sekundärstrukturen (z.B. in 3’ UTRs) zuverlässig und in hohen Ausbeuten in cDNA umgeschrieben werden.
- cDNA Transkripte bis über 10 kb mit hohen Ausbeuten
- Erhöhte Thermostabilität (bis 48°C !)
- Exzellente Sensitivität (Input Total RNA < 1pg)
- Optimal auch für schwierige RNA-Templates mit erhöhten Sekundärstrukturen!
- Kompatibel mit subsequenten RT-PCR oder qPCR Ansätzen
Die ProtoScript® II Reverse Transcriptase von NEB zeichnet sich außerdem durch eine exzellente Sensitivität aus. So ist z.B. eine Input-Menge von weniger als 1 pg Total RNA (oder 5 RNA Moleküle einer spezifischen mRNA) für eine erfolgreiche RT-PCR notwendig.
Fazit: ProtoScript® II Reverse Transcriptase von NEB ist ideal für alle Anwendungen, in denen zuverlässig und in hohen Ausbeuten full-length cDNA benötigt werden (z.B. Klonierungen, RT-PCR, qPCR, etc.).
Performance
Die neue ProtoScript® II Reverse Transcriptase von NEB: Vergleichbare oder bessere Performance im Vergleich zu Mitbewerbern

1 µg Total RNA (aus Jurkat Zellen) wurde für eine Erststrang-cDNA Synthese eingesetzt (20 µl Gesamtvolumen). Alle Reaktionskomponenten (mit Ausnahme der RTase) wurden gemischt und dem Protokoll entsprechend für 3 min vorinkubiert. Es wurden 200 units von NEB’s ProtoScript® II Reverse Transcriptase (A) oder SuperScript® II (B) hinzugefügt und für 50 min wie in Abbildung angegeben bei unterschiedlichen Temperaturen inkubiert und anschließend für 5 min bei 80°C Hitze-inaktiviert. 1 µl der gewonnenen cDNA diente als Template für eine 25 µl Kontroll-PCR (35–40 Zyklen) mit LongAmp® Hot Start Taq 2X Master Mix. Marker M ist die Quick-Load® 2-Log DNA Ladder.
Schwierige Templates
Zuverlässige cDNA Synthese auch bei langen Templates

1 µg Total RNA (aus Jurkat Zellen) wurde für eine Erststrang-cDNA Synthese mit 200 units ProtoScript® II Reverse Transcriptase eingesetzt (20 µl Gesamtvolumen). Die Synthese wurde für 50 min bei 42°C durchgeführt und anschließend für 5 min bei 80°C Hitze-inaktiviert. 1 µl der gewonnenen cDNA diente als Template für eine 25 µl Kontroll-PCR (35–40 Zyklen) mit LongAmp® Hot Start Taq 2X Master Mix. Marker L ist die Quick-Load® 2-Log DNA Ladder.
Hochqualitative cDNA sogar bei geringsten Mengen an RNA Ausgangsmaterial

Abnehmende Mengen an Jurkat Total RNA (1 μg – 1 pg) wurden für eine Erststrang-cDNA Synthese mit 200 units ProtoScript® II Reverse Transcriptase eingesetzt (20 µl Gesamtvolumen). Die Synthese wurde für 50 min bei 42°C durchgeführt und anschließend für 5 min bei 80°C Hitze-inaktiviert. 1 µl der gewonnenen cDNA diente als Template für eine 25 µl Kontroll-PCR (40 Zyklen) mit LongAmp® Hot Start Taq 2X Master Mix. Die Bande bei 0,6 kb ist eine spezifische Amplifikation der GAPDH cDNA. Marker L ist die Quick-Load® 2-Log DNA Ladder.
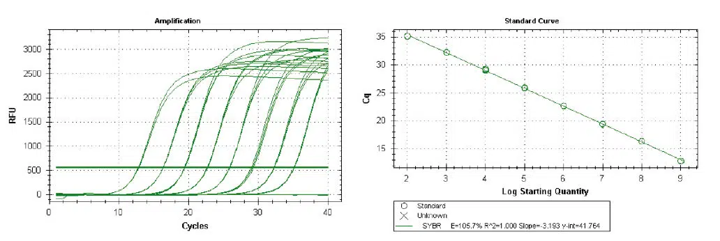
ProtoScript® II Reverse Transcriptase ist extrem sensitiv

Abnehmende Mengen an Luciferase mRNA (109 bis 102) Moleküle wurden in Gegenwart von 1 ng Jurkat Total RNA in cDNA umgeschrieben (50 units ProtoScript® II Reverse Transcriptase ) 20 µl Gesamtvolumen. 1 µl des cDNA Produktes wurde mit dem qPCR Kit SsoAdvanced™ SYBR® Green Supermix analysiert. Der Nachweis von lediglich 5 Molekülen Luciferase mRNA belegt die exzellente Sensitivität der cDNA Synthese mit der NEB ProtoScript® II Reverse Transcriptase.
Produkttabelle
Stand: 01.01.2024
Weiterführende Informationen finden Sie unter Technische Ressourcen oder auf neb.com. Informationen zu Namensrechten finden Sie hier.
