ProtoScript® II Reverse Transcriptase
ProtoScript® II Reverse Transcriptase is a recombinant M-MuLV reverse transcriptase with reduced RNase H activity and increased thermostability. It can be used to synthesize first strand cDNA at higher temperatures than the wild type M-MuLV. The enzyme is active up to 48°C, providing higher specificity, higher yield of cDNA and more full-length cDNA product up to 12 kb.
- High yield cDNA synthesis up to 12 kb
- Increased thermostability (up to 48°C !)
- Excellent sensitivity (Input Total RNA < 1pg)
- Suitable for RNA that contains high amounts of secondary structure
Performance
Protoscript II Reverse Transcriptase performs as well as other RNase H– Reverse Transcriptases

Jurkat total RNA (1 μg) was used in a 20 μl first strand cDNA synthesis. Mixtures of all reaction components, except for reverse transcriptase, were held at different temperatures for 3 min. 200 units SuperScript® II (A) or NEB’s ProtoScript II Reverse Transcriptase (B) was added and incubated at the indicated temperature for 50 minutes, followed by heat inactivation for 5 min at 80°C. 1 μl of cDNA was used in a 25 μl PCR using LongAmp Taq Master Mix for 35–40 cycles. Ladder L is the 2 Log DNA Ladder.
Robust cDNA synthesis is achieved even with longer templates

Jurkat total RNA (1 μg) was used in a 20 μl first strand cDNA synthesis with 200 units of NEB ProtoScript II Reverse Transcriptase. Reactions were incubated at 42°C for 50 minutes, followed by heat inactivation for 5 minutes at 80°C. 1 μl of cDNA was used in a 25 μl PCR using LongAmp Taq Master Mix for 35–40 cycles. Sizes are indicated above gel.
Generate high quality cDNA even with very low amounts of starting RNA

Decreasing amounts of Jurkat total RNA (1 μg – 1 pg) were used in 20 μl first strand cDNA synthesis with 200 units of NEB ProtoScript II Reverse Transcriptase. Reactions were incubated at 42°C for 50 minutes, followed by heat inactivation for 5 minutes at 80°C. 1 μl of cDNA was used in a 25 μl PCR using LongAmp Taq Master Mix for 40 cycles. The target is a 0.6 kb fragment of GAPDH. Ladder L is the 2-Log DNA Ladder.
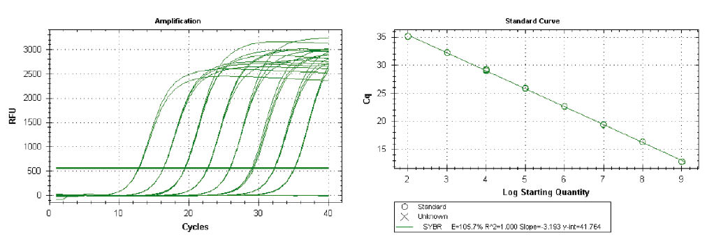
ProtoScript II Reverse Transcriptase displays superior sensitivity

Decreasing amounts of luciferase mRNA (109 to 102) molecules were converted into cDNA in the presence of 1 ng Jurkat total RNA using 50 units of NEB ProtoScript II Reverse Transcriptase in a total reaction volume of 20 μl. 1/20 of the cDNA product was amplified using SsoAdvanced™ SYBR® Green Supermix. As few as 5 molecules of luciferase mRNA are detectable.
Product table
As of: 01.01.2024
Further information can be found in our Technical Resources section or at neb.com. Information on trademarks can be found here.
