This unique workflow meets the demand for a highly sensitive, yet robust method that consistently generates high-quality, full-length transcript sequencing data from a single cell or ultra-low input RNA.
Optimized cDNA synthesis and amplification steps incorporate template switching, as well as utilize a unique protocol and suite of reagents. Even low-abundance transcripts are represented in the high yields of cDNA obtained. Subsequent library construction incorporates the Ultra™ II FS enzymatic DNA fragmentation/end repair/dA-tailing mix in a simple and efficient workflow.
- Generate the highest yields of high-quality sequencing libraries from single cells, or as little as 2 pg - 200 ng RNA
- Experience unmatched detection of low abundance transcripts
- Rely on consistent transcript detection for a wide range of input amounts and sample types
- Observe uniform transcript coverage, regardless of input amount or sample type
- Use with a variety of RNA inputs, including cultured or primary cells, or total RNA
- Save time with a fast, streamlined workflow, minimal handling steps and hands-on time
Video: Cell Sorting for Single Cell Seq
Get a free NEBNext Single Cell/ Low Input RNA Library Prep Kit!
Generate higher library yields with the NEBNext Single Cell/Low Input RNA Library Prep Kit
Sequencing libraries were generated from HeLa, Jurkat and M1 single cells or 10 pg of Universal Human Reference (UHR) RNA (Agilent® #740000) with recommended amounts of ERCC RNA Spike-In Mix I (Thermo Fisher Scientific® #4456740). The NEBNext Single Cell/Low Input RNA Library Prep Kit, or the SMART-Seq v4 Ultra® Low Input RNA Kit for Sequencing (Clontech® #634891) plus the Nextera XT DNA Library Prep Kit (Illumina® #FC-131-1096) were used. For the NEBNext workflow ~80% of the cDNA was used as input into sequencing library preparation, and libraries were amplified with 8 PCR cycles. For the SMART-Seq v4/Nextera XT workflow, as recommended, 125 pg of cDNA was used as input in sequencing library preparation and 12 PCR cycles were used for amplification. Error bars indicate standard deviation for 6-11 replicates.
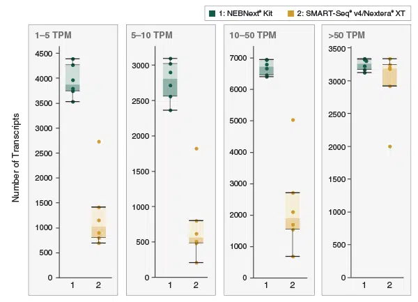
The NEBNext Single Cell/Low Input RNA Library Prep Kit increases transcript detection
Sequencing libraries were generated from Jurkat single cells (6 replicates) using the NEBNext Single Cell/Low Input RNA Library Prep Kit, or the SMART-Seq v4 Ultra® Low Input RNA Kit for Sequencing (Clontech® # 634891) plus the Nextera XT DNA Library Prep Kit (Illumina® #FC-131-1096). Libraries were sequenced on an Illumina NextSeq® 500 using paired-end mode (2×76 bp). TPM = Transcripts per Kilobase Million. Each dot represents the number of transcripts identified at the given TPM range, and each box represents the median, first and third quartiles per replicate. Salmon 0.6 was used for read mapping and quantification of all GENCODE v25 transcripts. Panels show the number of transcripts detected within the following TPM ranges: 1-5, 5-10, 10-50 and >50 TPM. Increased identification of low abundance transcripts is observed with the NEBNext libraries.
The NEBNext Single Cell/Low Input RNA Library Prep Kit provides uniform coverage across the length of transcripts
Sequencing libraries were generated from HeLa, Jurkat and M1 single cells, or 10 pg of Universal Human Reference (UHR) RNA (Agilent® #740000) with recommended amounts of ERCC RNA Spike-In Mix I (Thermo Fisher Scientific® #4456740). The NEBNext Single Cell/Low Input RNA Library Prep Kit, or the SMART-Seq v4 Ultra® Low Input RNA Kit for Sequencing (Clontech® # 634891) plus the Nextera XT DNA Library Prep Kit (Illumina® #FC-131-1096) were used. Libraries were sequenced on an Illumina NextSeq® 500 using paired-end mode (2×76 bp). Gene body coverage shown is an average of four replicates and was calculated using Picard tools. The global view of the 5´ to 3´ coverage of the RefSeq transcripts reveals both consistency across different sample types and uniformity across the transcript length in the NEBNext libraries.
Available NEBNext Single Cell/ Low Input RNA products
Stand: 01.01.2024
NEBNext products are available at a permanent low price that can not be further discounted.
Further information can be found in our Technical Resources section or at neb.com. Information on trademarks can be found here.




