For best and most reliable qPCR results – Luna Universal (RT)-qPCR Reagents
We recommend the new Luna Universal (RT)-qPCR reagents from New England Biolabs for your qPCR experiments! They utilize state-of-the-art and unique enzyme technology and are optimized for best performance:
The Luna qPCR reaction mixes are based on a unique, aptamer-based Hot Start Taq DNA Polymerase and are provided with a novel passive reference dye that eliminates the need for additional components. This dye makes Luna compatible with all common platforms including ROX-dependent devices.
The reverse transcriptase in the Luna RT-qPCR kits is a newly, in silico developed WarmStart enzyme that offers robust performance and high thermostability. Pptimized for subsequent qPCR, it is the best RTase on the market today.
Extensive comparative tests show that Luna Universal (RT)-qPCR reagents are clearly superior to conventional qPCR reagents!

Performance! Performance! Performance!
Superior performance and reliability!
In thousands and thousands of tests on a wide variety of samples, we have optimized all Luna products for you according to the MIQE guidelines for “best qPCR practice”, including the following criteria:
- PCR efficiency
- Sensitivity
- Specificity
- Cq reproducibility
- Quality of PCR curves (curve steepness, curve progressions)
When using Luna Universal (RT)-qPCR reagents, you are also safe from false positive signals due to carry-over contaminations from previous PCRs. Our kits use dUTP in the amplification mix for optional of UDG digestion.
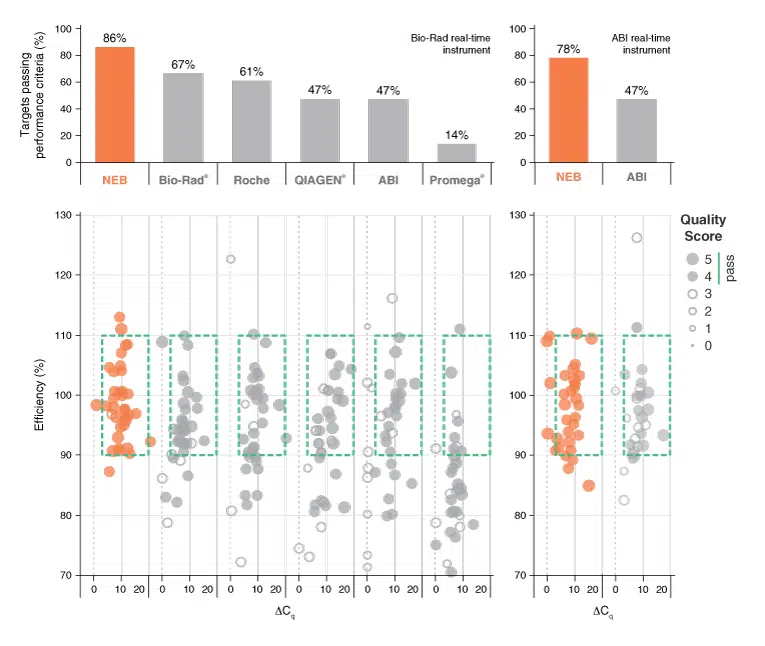
NEB has developed a new method to easily represent the quality of qPCR data (based on MIQE criteria*), the Dots in Boxes. All key features of a qPCR experiment are presented in one point.
Each experiment is carried out in triplicates and five dilution steps (amplification diagram, bottom right). The no template control (NTC) is also carried as a triplicate, so that an experiment or data point results from 18 reactions.
The efficiency in percent (standard curve, top left) is plotted against the ΔCq value (dot plot, middle), the difference between the average Cq value of the lowest concentration and the Cq value of the NTC.
Our performance criteria are an efficiency in the range of 90-110%, as well as a ΔCq value ≥3, the range is marked in the diagram by the green box.
Further performance criteria are recorded in the quality index (quality score, top right) and contain:
- linearity of the standard curve, represented by R2
- reproducibility (consistency of triplicates)
- consistent fluorescence, by similar endpoint fluorescence values (RFUmax)
- curve slope is in the linear range
- sigmoidal curve shape
The quality index is represented by size and filling of the data point. A large filled point inside the box corresponds to a successful experiment that has met all criteria.
*This evaluation is based on the international MIQE qPCR/RT-qPCR guidelines (Bustin, S.A. et al. (2009) Clin Chem. 55, 611-22 and Trombley Hall, A. et al. (2013) PLoS One 8(9):e73845).

Download our Whitepaper to learn more about the “Dots in Boxes” method:
- Simple reaction setup and fast protocols
- Highest reliability and reproducibility
- Excellent sensitivity and accuracy on all templates (AT-rich, GC-rich,...)
- Luna Universal (RT)-qPCR reagents are compatible with all qPCR machines and are available for both dye and probe-based detection.
- A highly visible blue dye in the Luna mixes protects you from annoying and unwanted pipetting errors.
- Favourable price per reaction

Products
As of: 01.01.2023
Further information can be found in our Technical Resources section or at neb.com. Information on trademarks can be found here.


